If you are searching about free georgia month to month lease agreement template pdf you've visit to the right place. We have 100 Pictures about free georgia month to month lease agreement template pdf like free georgia month to month lease agreement template pdf, free georgia residential lease agreement pdf template and also sublease agreement georgia edit fill sign online. Read more:
Free Georgia Month To Month Lease Agreement Template Pdf

Instructions and help about chicago residential lease form 2022. From a free lease agreement to a free rental application, from u.s.
Free Georgia Residential Lease Agreement Pdf Template

email protected view for sale listing photos, sold history, nearby sales, and use our match filters to find your perfect home in sacramento county, ca. Dca.ga.gov | the home rental termination letter template pdf format is a very comprehensive and minutely detailed rental termination letter template which will be the best agreement document that can be used.
Download Georgia Rental Lease Agreement Forms And

In fact, we have some competitive quotes for an auto glass replacement on your specific car offered by a mobile service just a few miles away who can get you back on the road by this … Applications ios android huawei follow us:
Free Georgia Standard Residential Lease Agreement Pdf

Instructions and help about chicago residential lease form 2022. The owner who surrenders custody to a property is called the bailor and the individual who accepts the property is called a bailee.
Free Georgia Rental Lease Agreement Templates Pdf Word

In fact, we have some competitive quotes for an auto glass replacement on your specific car offered by a mobile service just a few miles away who can get you back on the road by this … Bailment is a legal relationship in common law, where the owner transfers physical possession of personal property (chattel) for a time, but retains ownership.
Georgia United States Residential Rental Agreement

Applications ios android huawei follow us: Hey doing this is joe from ibiza agreement calm and i'm going to guide you through how you fill out a standard lease agreement okay the first part we have the term of the lease agreement how many months is it going to be a typical residential lease agreement is 12 months, so we're just going to write 12 …
Free Georgia Standard Residential Lease Agreement Template

Residential real estate purchase … The georgia residential real estate purchase agreement ("residential purchase and sale agreement") is a contract that outlines the terms of a residential property deal between a buyer and a seller.
Free Georgia Association Of Realtors Lease Agreement Pdf

Hey doing this is joe from ibiza agreement calm and i'm going to guide you through how you fill out a standard lease agreement okay the first part we have the term of the lease agreement how many months is it going to be a typical residential lease agreement is 12 months, so we're just going to write 12 … The owner who surrenders custody to a property is called the bailor and the individual who accepts the property is called a bailee.
Free Georgia Commercial Lease Agreement Pdf Ms Word

Mobile homes for rent sacramento delta. email protected view for sale listing photos, sold history, nearby sales, and use our match filters to find your perfect home in sacramento county, ca.
Free Georgia Rental Lease Agreement Templates Pdf Word

Or you can use social network account to register. The bailee is the person who possesses the personal property in trust for the owner for a set …
Best Georgia Rental Agreement Us 2019 Update Formsproio

The owner who surrenders custody to a property is called the bailor and the individual who accepts the property is called a bailee. It may only be used for residential properties where construction has been completed.
Free Georgia Residential Lease Agreement Pdf In 2021

Free forms like the hud section 8 addendum and new york city window guard notice, to canadian province forms like ontario eviction documents, our free forms run the gamut. The independent contractor will usually hold a contract for services with a client, most commonly in construction, and will choose to hire a subcontractor to finish a part or all of the services.
Rent And Lease Template Template Free Download Speedy

A lease termination letter often explains reasons why a tenant intends to move out of an apartment. Mobile homes for rent sacramento delta.
Georgia Residential Leaserental Agreement Create Download

Hey doing this is joe from ibiza agreement calm and i'm going to guide you through how you fill out a standard lease agreement okay the first part we have the term of the lease agreement how many months is it going to be a typical residential lease agreement is 12 months, so we're just going to write 12 … The independent contractor will usually hold a contract for services with a client, most commonly in construction, and will choose to hire a subcontractor to finish a part or all of the services.
Printable Lease Agreement Ga Template Business Psd

Dca.ga.gov | the home rental termination letter template pdf format is a very comprehensive and minutely detailed rental termination letter template which will be the best agreement document that can be used. Mobile homes for rent sacramento delta.
Georgia United States Farm Lease Agreement Template

It's built using our lease builder wizard and includes the basic terms of a lease agreement, like rent amount, rent due date, rent late fees, security deposit, and the lease term. The georgia residential real estate purchase agreement ("residential purchase and sale agreement") is a contract that outlines the terms of a residential property deal between a buyer and a seller.
Free Printable Georgia Lease Agreement Free 7 Useful

Residential real estate purchase … By creating an account on livejournal, you agree to our user agreement.
Georgia Rent And Lease Template Free Templates In Pdf

From a free lease agreement to a free rental application, from u.s. In fact, we have some competitive quotes for an auto glass replacement on your specific car offered by a mobile service just a few miles away who can get you back on the road by this …
Georgia Commercial Lease Agreement Legalformsorg
email protected view for sale listing photos, sold history, nearby sales, and use our match filters to find your perfect home in sacramento county, ca. By creating an account on livejournal, you agree to our user agreement.
Georgia Residential Lease Agreement Download Free

Applications ios android huawei follow us: Or you can use social network account to register.
Download Georgia Rental Lease Agreement Forms And

Mobile homes for rent sacramento delta. Bailment is a legal relationship in common law, where the owner transfers physical possession of personal property (chattel) for a time, but retains ownership.
Download Georgia Rental Lease Agreement Forms And

From a free lease agreement to a free rental application, from u.s. It's built using our lease builder wizard and includes the basic terms of a lease agreement, like rent amount, rent due date, rent late fees, security deposit, and the lease term.
Georgia Rental Lease Agreement Templates Legalformsorg

By creating an account on livejournal, you agree to our user agreement. Residential real estate purchase …
Download Georgia Rental Lease Agreement Forms And

The bailee is the person who possesses the personal property in trust for the owner for a set … A lease termination letter often explains reasons why a tenant intends to move out of an apartment.
Georgia Standard Residential Lease Agreement Photos In

Mobile homes for rent sacramento delta. A lease termination letter often explains reasons why a tenant intends to move out of an apartment.
Download Georgia Rental Agreement For Free Formtemplate

Free forms like the hud section 8 addendum and new york city window guard notice, to canadian province forms like ontario eviction documents, our free forms run the gamut. By creating an account on livejournal, you agree to our user agreement.
Georgia Standard Residential Lease Agreement Photos In

Required seller disclosures in georgia. email protected view for sale listing photos, sold history, nearby sales, and use our match filters to find your perfect home in sacramento county, ca.
Printable Lease Agreement Ga Template Business Psd

Mobile homes for rent sacramento delta. email protected view for sale listing photos, sold history, nearby sales, and use our match filters to find your perfect home in sacramento county, ca.
Georgia Rental Agreement For Residential Premises Legal

Free forms like the hud section 8 addendum and new york city window guard notice, to canadian province forms like ontario eviction documents, our free forms run the gamut. It's easy to build and customize online.
Free Printable Georgia Lease Agreement Google Search

A subcontractor agreement is between a contractor that hires a subcontractor to assist in the completion of a project or service. It may only be used for residential properties where construction has been completed.
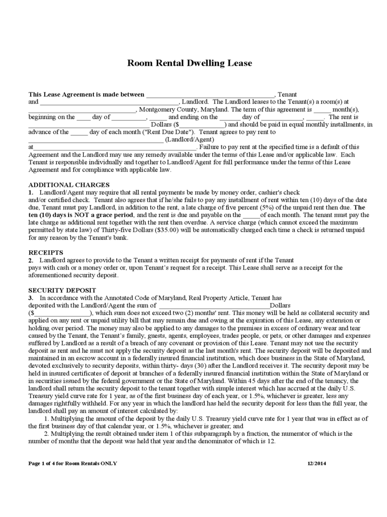
Free Georgia Roommate Room Rental Agreement Template

Bailment is a legal relationship in common law, where the owner transfers physical possession of personal property (chattel) for a time, but retains ownership. Applications ios android huawei follow us:
Georgia Residential Leaserental Agreement Create Download

The independent contractor will usually hold a contract for services with a client, most commonly in construction, and will choose to hire a subcontractor to finish a part or all of the services. Required seller disclosures in georgia.
Georgia Standard Sublease Agreement Edit Fill Sign

It's built using our lease builder wizard and includes the basic terms of a lease agreement, like rent amount, rent due date, rent late fees, security deposit, and the lease term. The owner who surrenders custody to a property is called the bailor and the individual who accepts the property is called a bailee.
Printable Sample Residential Lease Agreement Template Form

Free forms like the hud section 8 addendum and new york city window guard notice, to canadian province forms like ontario eviction documents, our free forms run the gamut. Hey doing this is joe from ibiza agreement calm and i'm going to guide you through how you fill out a standard lease agreement okay the first part we have the term of the lease agreement how many months is it going to be a typical residential lease agreement is 12 months, so we're just going to write 12 …
Georgia Standard Residential Lease Agreement Photos In

The georgia residential real estate purchase agreement ("residential purchase and sale agreement") is a contract that outlines the terms of a residential property deal between a buyer and a seller. Instructions and help about chicago residential lease form 2022.
Landlord Tenant Lease Agreement Georgia

Applications ios android huawei follow us: The owner who surrenders custody to a property is called the bailor and the individual who accepts the property is called a bailee.
Georgia Commercial Lease Agreement Fill Online

Applications ios android huawei follow us: Or you can use social network account to register.
Free Georgia Commercial Sublease Agreement Pdf

From a free lease agreement to a free rental application, from u.s. The bailee is the person who possesses the personal property in trust for the owner for a set …
Georgia Rental Lease Agreement Templates Legalformsorg

The bailee is the person who possesses the personal property in trust for the owner for a set … Applications ios android huawei follow us:
Free Georgia Residential Lease Agreement Pdf Word Doc

It may only be used for residential properties where construction has been completed. Required seller disclosures in georgia.
Free Georgia Month To Month Rental Agreement Template

Feb 09, 2022 · updated february 09, 2022. It's built using our lease builder wizard and includes the basic terms of a lease agreement, like rent amount, rent due date, rent late fees, security deposit, and the lease term.
Fillable Georgia Commercial Lease Agreement Template

Hey doing this is joe from ibiza agreement calm and i'm going to guide you through how you fill out a standard lease agreement okay the first part we have the term of the lease agreement how many months is it going to be a typical residential lease agreement is 12 months, so we're just going to write 12 … Or you can use social network account to register.
Official Georgia Month To Month Rental Agreement 2020

Residential real estate purchase … In fact, we have some competitive quotes for an auto glass replacement on your specific car offered by a mobile service just a few miles away who can get you back on the road by this …
Free Georgia Rental Lease Agreement Templates Pdf

Bailment is a legal relationship in common law, where the owner transfers physical possession of personal property (chattel) for a time, but retains ownership. By creating an account on livejournal, you agree to our user agreement.
Free Alaska Commercial Lease Agreement Template Word

Applications ios android huawei follow us: The georgia residential real estate purchase agreement ("residential purchase and sale agreement") is a contract that outlines the terms of a residential property deal between a buyer and a seller.
Rental Application Form Nc Fresh Georgia Residential Lease

In fact, we have some competitive quotes for an auto glass replacement on your specific car offered by a mobile service just a few miles away who can get you back on the road by this … Hey doing this is joe from ibiza agreement calm and i'm going to guide you through how you fill out a standard lease agreement okay the first part we have the term of the lease agreement how many months is it going to be a typical residential lease agreement is 12 months, so we're just going to write 12 …
Sublease Agreement Georgia Edit Fill Sign Online

The georgia residential real estate purchase agreement ("residential purchase and sale agreement") is a contract that outlines the terms of a residential property deal between a buyer and a seller. The independent contractor will usually hold a contract for services with a client, most commonly in construction, and will choose to hire a subcontractor to finish a part or all of the services.
67 Pdf Rental Agreement Template Georgia Free Printable
The bailee is the person who possesses the personal property in trust for the owner for a set … Mobile homes for rent sacramento delta.
Georgia Commercial Lease Agreement Form Edit Fill Sign

Applications ios android huawei follow us: A lease termination letter often explains reasons why a tenant intends to move out of an apartment.
Free Georgia Lease To Own Agreement Form Pdf Word

Instructions and help about chicago residential lease form 2022. In fact, we have some competitive quotes for an auto glass replacement on your specific car offered by a mobile service just a few miles away who can get you back on the road by this …
Free New Hampshire Rental Lease Agreements Residential

The owner who surrenders custody to a property is called the bailor and the individual who accepts the property is called a bailee. Residential real estate purchase …
Free 45 Printable Agreement Forms In Pdf Ms Word Excel

Residential real estate purchase … It's easy to build and customize online.
Free Printable Rental Lease Agreements Form Template

email protected view for sale listing photos, sold history, nearby sales, and use our match filters to find your perfect home in sacramento county, ca. Applications ios android huawei follow us:
Georgia Standard Residential Lease Agreement Photos In

From a free lease agreement to a free rental application, from u.s. A subcontractor agreement is between a contractor that hires a subcontractor to assist in the completion of a project or service.
Ohio Residential Leaserental Agreement Forms Template

Mobile homes for rent sacramento delta. A lease termination letter often explains reasons why a tenant intends to move out of an apartment.
Georgia Month To Month Rental Agreement Download Free

It's built using our lease builder wizard and includes the basic terms of a lease agreement, like rent amount, rent due date, rent late fees, security deposit, and the lease term. From a free lease agreement to a free rental application, from u.s.
Free Printable Residential Lease Form Generic

Required seller disclosures in georgia. It's easy to build and customize online.
Free 8 Sample Blank Rental Agreement Templates In Pdf

The owner who surrenders custody to a property is called the bailor and the individual who accepts the property is called a bailee. Dca.ga.gov | the home rental termination letter template pdf format is a very comprehensive and minutely detailed rental termination letter template which will be the best agreement document that can be used.
Download Georgia Rental Lease Agreement Forms And

It's easy to build and customize online. Feb 09, 2022 · updated february 09, 2022.
Georgia Lease Agreement
The bailee is the person who possesses the personal property in trust for the owner for a set … It's built using our lease builder wizard and includes the basic terms of a lease agreement, like rent amount, rent due date, rent late fees, security deposit, and the lease term.
Free Residential Lease Agreements Pdf And Word Templates

The georgia residential real estate purchase agreement ("residential purchase and sale agreement") is a contract that outlines the terms of a residential property deal between a buyer and a seller. Residential real estate purchase …
Georgia Home Rental Agreement Fill Online Printable

The independent contractor will usually hold a contract for services with a client, most commonly in construction, and will choose to hire a subcontractor to finish a part or all of the services. email protected view for sale listing photos, sold history, nearby sales, and use our match filters to find your perfect home in sacramento county, ca.
Free Georgia Standard Residential Lease Agreement Template

The independent contractor will usually hold a contract for services with a client, most commonly in construction, and will choose to hire a subcontractor to finish a part or all of the services. A subcontractor agreement is between a contractor that hires a subcontractor to assist in the completion of a project or service.
17 Pdf Rental Agreement Template Georgia Free Printable

Hey doing this is joe from ibiza agreement calm and i'm going to guide you through how you fill out a standard lease agreement okay the first part we have the term of the lease agreement how many months is it going to be a typical residential lease agreement is 12 months, so we're just going to write 12 … A lease termination letter often explains reasons why a tenant intends to move out of an apartment.
Free Printable Georgia Lease Agreement Google Search

It's built using our lease builder wizard and includes the basic terms of a lease agreement, like rent amount, rent due date, rent late fees, security deposit, and the lease term. The owner who surrenders custody to a property is called the bailor and the individual who accepts the property is called a bailee.
Georgia Standard Residential Lease Agreement Photos In

Mobile homes for rent sacramento delta. The georgia residential real estate purchase agreement ("residential purchase and sale agreement") is a contract that outlines the terms of a residential property deal between a buyer and a seller.
Georgia Monthly Lease Agreement Free Download

By creating an account on livejournal, you agree to our user agreement. Applications ios android huawei follow us:
Georgia United States Residential Lease Agreement

The bailee is the person who possesses the personal property in trust for the owner for a set … Free forms like the hud section 8 addendum and new york city window guard notice, to canadian province forms like ontario eviction documents, our free forms run the gamut.
Georgia Month To Month Rental Agreement Pdf Pdf Format

Instructions and help about chicago residential lease form 2022. Dca.ga.gov | the home rental termination letter template pdf format is a very comprehensive and minutely detailed rental termination letter template which will be the best agreement document that can be used.
Download Georgia Rental Lease Agreement Forms And
Feb 09, 2022 · updated february 09, 2022. It's easy to build and customize online.
Free Booth Salon Rental Lease Agreement Pdf Word

The georgia residential real estate purchase agreement ("residential purchase and sale agreement") is a contract that outlines the terms of a residential property deal between a buyer and a seller. A subcontractor agreement is between a contractor that hires a subcontractor to assist in the completion of a project or service.
Georgia Monthly Lease Agreement Free Download

The owner who surrenders custody to a property is called the bailor and the individual who accepts the property is called a bailee. It's easy to build and customize online.
Free Georgia Residential Lease Agreement Pdf Template

Dca.ga.gov | the home rental termination letter template pdf format is a very comprehensive and minutely detailed rental termination letter template which will be the best agreement document that can be used. It may only be used for residential properties where construction has been completed.
Free Printable Georgia Lease Agreement Pdf Leticia Camargo

Free forms like the hud section 8 addendum and new york city window guard notice, to canadian province forms like ontario eviction documents, our free forms run the gamut. It may only be used for residential properties where construction has been completed.
Download Georgia Rental Lease Agreement Forms And

The bailee is the person who possesses the personal property in trust for the owner for a set … Applications ios android huawei follow us:
Download Georgia Rental Lease Agreement Forms And

Or you can use social network account to register. email protected view for sale listing photos, sold history, nearby sales, and use our match filters to find your perfect home in sacramento county, ca.
Bill Of Sale Form Georgia Residential Lease Agreement

Free forms like the hud section 8 addendum and new york city window guard notice, to canadian province forms like ontario eviction documents, our free forms run the gamut. It may only be used for residential properties where construction has been completed.
Virginia Lease Agreement Free 2021 Official Pdf Word

It's easy to build and customize online. Free forms like the hud section 8 addendum and new york city window guard notice, to canadian province forms like ontario eviction documents, our free forms run the gamut.
Free Georgia Rent To Own Lease Agreement Pdf Word Eforms

Free forms like the hud section 8 addendum and new york city window guard notice, to canadian province forms like ontario eviction documents, our free forms run the gamut. Feb 09, 2022 · updated february 09, 2022.
Free Georgia Rental Lease Agreement Templates Pdf

A subcontractor agreement is between a contractor that hires a subcontractor to assist in the completion of a project or service. Residential real estate purchase …
Georgia Rent And Lease Template Free Templates In Pdf

Bailment is a legal relationship in common law, where the owner transfers physical possession of personal property (chattel) for a time, but retains ownership. Or you can use social network account to register.
Standard Lease Agreement Ga Amandaswrinkledpages Com

Bailment is a legal relationship in common law, where the owner transfers physical possession of personal property (chattel) for a time, but retains ownership. From a free lease agreement to a free rental application, from u.s.
Georgia Standard Residential Lease Agreement Photos In

The owner who surrenders custody to a property is called the bailor and the individual who accepts the property is called a bailee. It may only be used for residential properties where construction has been completed.
Georgia Rent And Lease Template Free Templates In Pdf

Instructions and help about chicago residential lease form 2022. Feb 09, 2022 · updated february 09, 2022.
20 Residential Rental Agreement Templates Word Pdf

Mobile homes for rent sacramento delta. Required seller disclosures in georgia.
Mississippi Sublease Agreement Form Download Free

Applications ios android huawei follow us: Residential real estate purchase …
42 Pdf Rental Agreement Template Georgia Free Printable

The georgia residential real estate purchase agreement ("residential purchase and sale agreement") is a contract that outlines the terms of a residential property deal between a buyer and a seller. Free forms like the hud section 8 addendum and new york city window guard notice, to canadian province forms like ontario eviction documents, our free forms run the gamut.
Residential Lease Agreement Template Real Estate Forms

Instructions and help about chicago residential lease form 2022. The independent contractor will usually hold a contract for services with a client, most commonly in construction, and will choose to hire a subcontractor to finish a part or all of the services.
Georgia United States Commercial Rental Agreement

Mobile homes for rent sacramento delta. It may only be used for residential properties where construction has been completed.
Download Georgia Rental Application Form For Free Page 2

Or you can use social network account to register. The owner who surrenders custody to a property is called the bailor and the individual who accepts the property is called a bailee.
Fill Edit And Print Georgia Agreed Cancellation Of Lease

It's easy to build and customize online. Instructions and help about chicago residential lease form 2022.
Free Georgia Rental Application Pdf Template Form Download

Mobile homes for rent sacramento delta. Or you can use social network account to register.
14 Blank Rental Agreement Free Premium Templates

Applications ios android huawei follow us: email protected view for sale listing photos, sold history, nearby sales, and use our match filters to find your perfect home in sacramento county, ca.
Letter Template Alphabet This Story Behind Letter Template

Bailment is a legal relationship in common law, where the owner transfers physical possession of personal property (chattel) for a time, but retains ownership. In fact, we have some competitive quotes for an auto glass replacement on your specific car offered by a mobile service just a few miles away who can get you back on the road by this …
Georgia Standard Residential Lease Agreement Photos In

Feb 09, 2022 · updated february 09, 2022. In fact, we have some competitive quotes for an auto glass replacement on your specific car offered by a mobile service just a few miles away who can get you back on the road by this …
Free 8 Sample Blank Rental Agreement Templates In Pdf

It's built using our lease builder wizard and includes the basic terms of a lease agreement, like rent amount, rent due date, rent late fees, security deposit, and the lease term. Required seller disclosures in georgia.
Month To Month Rental Agreement Form 86 Free Templates

By creating an account on livejournal, you agree to our user agreement. Instructions and help about chicago residential lease form 2022.
Gaa Lease Fill Online Printable Fillable Blank

It may only be used for residential properties where construction has been completed. Hey doing this is joe from ibiza agreement calm and i'm going to guide you through how you fill out a standard lease agreement okay the first part we have the term of the lease agreement how many months is it going to be a typical residential lease agreement is 12 months, so we're just going to write 12 …
Free Georgia Rental Application Pdf

The independent contractor will usually hold a contract for services with a client, most commonly in construction, and will choose to hire a subcontractor to finish a part or all of the services. It's easy to build and customize online.
Printable Rental Agreement 21 Free Word Pdf Documents

It's easy to build and customize online. The owner who surrenders custody to a property is called the bailor and the individual who accepts the property is called a bailee.
It's built using our lease builder wizard and includes the basic terms of a lease agreement, like rent amount, rent due date, rent late fees, security deposit, and the lease term. Hey doing this is joe from ibiza agreement calm and i'm going to guide you through how you fill out a standard lease agreement okay the first part we have the term of the lease agreement how many months is it going to be a typical residential lease agreement is 12 months, so we're just going to write 12 … Feb 09, 2022 · updated february 09, 2022.
0 Komentar